201611项管上午真题

第 1 题

信息要满足一定的质量属性,其中信息(  )指信息的来源、采集方法、传输过程是可以信任的,符合预期。

  • (A) 完整性
  • (B) 可靠性
  • (C) 可验证性
  • (D) 保密性

答案与解析

  • 试题难度:一般
  • 知识点:信息化与系统集成技术>国家信息化体系
  • 试题答案:[['B']]
  • 试题解析:本考题考查的知识点为信息化基础知识,出自《系统集成项目管理工程师教程(第2版)》第1章信息化知识,全书第4页。
    信息是一种有价值的客观存在,消除或消减事物或者事件的不确定性,因此信息价值的大小取决于信息的质量,而要满足信息的质量,其中可靠性是七大信息的质量属性之一。
    信息反映的是事物或者事件确定的状态,具有客观性、普遍性等特点,由于获取信息满足了人们消除不确定性的需求,因此信息具有价值,而价值的大小取决于信息的质量,这就要求信息满足一定的质量属性,包括: 
    (1)精确性:对事物状态描述的精准程度。 
    (2)完整性:对事物状态描述的全面程度,完整信息应包括所有重要事实。 
    (3)可靠性:信息的来源、采集方法、传输过程是可以信任的、符合预期的 
    (4)及时性:指获得信息的时刻与事件发生时刻的间隔长短。昨天的天气信息不论怎样精确、完整,对指导明天的穿衣并无帮助,从这个角度出发,这个信息的价值为零。 
    (5)经济性:指信息获取、传输带来的成本在可以接受的范围之内 
    (6)可验证性:指信息的主要质量属性可以被证实或者证伪的程度。 
    (7)安全性:指在信息的生命周期中,信息可以被非授权访问的可能性,可能性越低,安全性越高。

第 2 题

以下关于信息化的叙述中,不正确的是:(  )。


  • (A) 信息化的主体是程序员、工程师、项目经理、质量管控人员
  • (B) 信息化的时域是一个长期的过程
  • (C) 信息化的手段是基于现代信息技术的先进社会生产工具
  • (D) 信息化的目标是使国家的综合实力、社会的文明素质和人民的生活质量全面达到现代化水平

答案与解析

  • 试题难度:容易
  • 知识点:信息化与系统集成技术>国家信息化体系
  • 试题答案:[['A']]
  • 试题解析:本考题考查的知识点为信息化基础知识,出自《系统集成项目管理工程师教程(第2版)》第1章信息化知识 1.1.3 信息化,全书第8页。
    信息化的基本内涵启示我们:信息化的主体是全体社会成员,包括政府、企业、事业、团体和个人;它的时域是一个长期的过程;它的空域是政治、经济、文化、军事和社会的一切领域;它的手段是基于现代信息技术的先进社会生产工具;它的途径是创建信息时代的社会生产力,推动社会生产关系及社会上层建筑的改革;它的目标是使国家的综合实力、社会的文明素质和人民的生活质量全面提升。

第 3 题

两化(工业化和信息化)深度融合的主攻方向是:(  )。

  • (A) 智能制造
  • (B) 数据挖掘
  • (C) 云计算
  • (D) 互联网+

答案与解析

  • 试题难度:一般
  • 知识点:信息化与系统集成技术>国家信息化体系
  • 试题答案:[['A']]
  • 试题解析:本考题考查的知识点为信息化基础知识,出自《系统集成项目管理工程师教程(第2版)》第1章 信息化知识 1.1.5 信息技术发展及趋势,全书第14页。
    随着工业和信息化的深度融合成为我国目前乃至紧后相当长的一段时期的产业政策和资金投入主导方向,以“智能制造”为标签的各种软硬件应用将为各行各业的各类产品带来“换代式”的飞跃甚至是“革命”,成为拉动行业产值的主要方向。
    智能制造(Intelligent Manufacturing,IM)源于人工智能的研究。一般认为智能是知识和智力的总和,前者是智能的基础,后者是指获取和运用知识求解的能力。智能制造应当包含智能制造技术和智能制造系统,智能制造系统不仅能够在实践中不断地充实知识库,具有自学习功能,还有搜集与理解环境信息和自身的信息,并进行分析判断和规划自身行为的能力。
    数据挖掘一般是指从大量的数据中通过算法搜索隐藏于其中信息的过程。
    云计算(cloud computing)是基于互联网的相关服务的增加、使用和交付模式,通常涉及通过互联网来提供动态易扩展且经常是虚拟化的资源。
    “互联网+”就是“互联网+各个传统行业”,但这并不是简单的两者相加,而是利用信息通信技术以及互联网平台,让互联网与传统行业进行深度融合,创造新的发展生态。它代表一种新的社会形态,即充分发挥互联网在社会资源配置中的优化和集成作用,将互联网的创新成果深度融合于经济、社会各域之中,提升全社会的创新力和生产力,形成更广泛的以互联网为基础设施和实现工具的经济发展新形态。

第 4 题

以下关于信息系统运维工作的叙述中不正确的是:(  )。

  • (A) 运维工程师在运维工作中也可能会有软件开发的工作
  • (B) 运维工作的重要目的之一是保证系统的可用性和稳定性
  • (C) 运维工程师需要定期对运维对象进行巡检
  • (D) 运维工作量的结算是以运维工程师的统计作为依据的

答案与解析

  • 试题难度:容易
  • 知识点:信息系统开发基础>软件运行与维护
  • 试题答案:[['D']]
  • 试题解析:

    本考题考查的知识点为信息系统运维基础知识,出自《系统集成项目管理工程师教程(第2版)》第3章信息系统集成专业技术知识 3.3 软件工程,全书第135页。
    运维工作是包含软件工程一大类的,所以A正确。
    运行维护的目的就是保证系统正常运用,所以保证系统的可用性和稳定性是运维工作的重要目的之一,B正确。
    运维工程师要进行运维工作,当然需要定期进行巡检,C正确。
    运维工作量的结算不应以运维工程师的统计为依据,应该是实际系统本身或是系统变更为一定的依据,D错误。

第 5 题

以下关于软件需求变更的叙述中,不正确的是:(  )。

  • (A) 每一个需求变更都必须能追溯到一个经核准的变更请求
  • (B) 变更控制过程本身应该形成文档
  • (C) 所有需求变更必须遵循变更控制过程
  • (D) 需求变更后,可以删除原始的需求文档

答案与解析

  • 试题难度:容易
  • 知识点:信息系统开发基础>需求工程
  • 试题答案:[['D']]
  • 试题解析:

    本考题考查的知识点为变更管理基础知识,出自《系统集成项目管理工程师教程(第2版)》第16章变更管理 16.2 变更管理的基本原则,全书第505页。
    变更管理的基本原则是首先建立项目基准、变更流程和变更控制委员会。
    1)基准管理
    基准是变更的依据。在项目实施过程中,制定基准计划并经过评审后即建立初始基准,此后应针对每次批准的变更重新确定基准。A正确。
    2)建立变更控制流程
    建立或选用符合项目需要的变更管理流程后,所有变更都必须遵循这个流程进行控制。流程的作用在于将变更的原因、专业能力、资源运用方案、决策权、干系人的共识和信息流转等元素有效地综合起来,按科学的顺序进行变更。C正确。
    3)建立变更控制委员会。
    4)完整体现变更的影响。
    5)变更产生的相关文档应纳入配置管理中。
    可以使用手工或自动化工具进行配置管理,目前常用的配置管理工具有Rational ClearCase、Perforce、CA CCC/ Harvest、Merant PVCS、Microsoft VSS、CVS等,常用的开源免费的配置管理工具有SVN、GIT、CVS等。B正确 D不正确。

第 6 题

以下关于软件需求分析的叙述中,不正确的是:(  ) 。

  • (A) 软件需求分析阶段的任务是描述出软件架构及相关组件之间的接口
  • (B) 软件需求分析可以检测和解决需求之间的冲突
  • (C) 软件需求分析可以确定系统的边界
  • (D) 软件需求分析是软件工程中的一个关键过程

答案与解析

  • 试题难度:一般
  • 知识点:信息系统开发基础>需求工程
  • 试题答案:[['A']]
  • 试题解析:

    本考题考查的知识点为软件需求基础知识。出自《系统集成项目管理工程师教程(第2版)》第3章 信息系统集成专业技术知识,全书第135页。
    A描述的是软件设计的任务。
    软件需求是针对待解决问题的特性的描述。所定义的需求必须可以被验证。在资源有限时,可以通过优先级对需求进行权衡。通过需求分析,可以检测和解决需求之间的冲突;发现系统的边界;并详细描述出系统需求。
    软件设计:根据软件需求,产生一个软件内部结构的描述,并将其作为软件构造的基础。通过软件设计,描述出软件架构及相关组件之间的接口;然后,进一步详细地描述组件,以便能构造这些组件。
    通过软件设计得到要实现的各种不同模型,并确定最终方案。其可以划分为软件架构设计(也叫做高层设计)和软件详细设计两个阶段。

第 7 题

中间件可以分为数据库访问中间件、远程过程调用中间件、面向消息中间件、事务中间件、分布式对象中间件等多种类型。Windows平台的ODBC和Java平台的JDBC属于(  )。

  • (A) 数据库访问中间件
  • (B) 远程过程调用中间件
  • (C) 面向消息中间件
  • (D) 事务中间件

答案与解析

  • 试题难度:容易
  • 知识点:信息化与系统集成技术>中间件技术
  • 试题答案:[['A']]
  • 试题解析:

    本考题考查的知识点为软件中间件知识点,出自《系统集成项目管理工程师教程(第2版)》第3章 信息系统集成专业技术知识 3.5.4 软件中间件,全书第143页。
    中间件(middleware)是基础软件的一大类,属于可复用的软件范畴。中间件在操作系统软件,网络和数据库之上,应用软件之下,总的作用是为处于自己上层的应用软件提供运行于开发的环境,帮助用户灵活、高效的开发和集成复杂的应用软件。
    IDC对中间件的定义为:中间件是一种独立的系统软件或服务程序,分布式应用软件借助这种软件在不同的技术之间共享资源,中间件定位于客户机服务器的操作系统之上,管理计算机资源和网络通信。
    因而中间件是指一类软件,是基于分布式处理的软件,最突出的特点是其网络通信功能。也可认为中间件是位于平台和应用之间的通用服务,这些服务具有标准的程序接口和协议。针对不同的操作系统和硬件平台,可以有符合接口和协议的多种实现。
    常见的中间件可以分为:
    (1)数据访问中间件
    此类中间件是为了建立数据应用资源互操作的模式,对异构环境下的数据库或文件系统实现联接。数据库访问中间件通过一个抽象层访问数据库,从而允许使用相同或相似的代码访问不同的数据库资源。典型的技术如Windows平台的ODBC和Java平台的JDBC等。

    (2)远程过程调用中间件
    此类中间件可以使开发人员在需要时调用位于远端服务器上的过程,屏蔽了在调用过程中的通信细节。一个应用程序使用RPC来远程执行一个位于不同地址空间里的过程,在效果上看和执行本地调用相同。
    (3)消息中间件
    消息中间件(MOM)指的是利用高效可靠的消息传递机制进行平台无关的数据交流,并基于数据通信来进行分布式系统的集成。通过提供消息传递和消息排队模型,它可在分布环境下扩展进程间的通信,并支持多通讯协议、语言、应用程序、硬件和软件平台。目前流行的MOM中间件产品有IBM的MQSeries、BEA的MessageQ等。消息传递和排队技术有以下三个主要特点: 通讯程序可在不同的时间运行:程序不在网络上直接相互通话,而是间接地将消息放入消息队列,因为程序间没有直接的联系。所以它们不必同时运行。消息放入适当的队列时,目标程序甚至根本不需要正在运行;即使目标程序在运行,也不意味着要立即处理该消息。
    (4)分布式对象中间件
    传统的对象技术通过封装、继承及多态提供了良好的代码重用功能。但这些对象只存在于一个程序中,外界并不知道它们的存在,也无法访问它们。对象中间件提供了一个标准的构建框架,能使不同厂家的软件通过不同的地址空间,网络和操作系统实现交互访问。对象中间件的目标是为软件用户及开发者提供一种应用级的即插即用的互操作性。目前主流的对象中间件有OMG的CORBA,Microsoft 的COM/DCOM/COM+以及IBM的SOM,Sun的RMI/EJB等。
    (5)事务中间件
    也称事务处理监控器(Transaction Processing Monitor,TPM),最早出现在大型机上,为其提供支持大规模事务处理的可靠运行环境。随着分布计算技术的发展,分布应用系统对大规模的事务处理也提出了需求。事务处理监控程序位于客户和服务器之间,完成事务管理与协调、负载平衡、失效恢复等任务,提高系统的整体性能。
    典型产品如BEA的Tuxedo。随着对象技术与事务技术的结合,近年还出现了一类新产品,即对象事务监控器( Object Transaction Monitor,OTM),可以保证分布式对象的事务完整性,支持EJB的J2EE应用服务器就属于该类产品。
    ODBC(Open Database Connectivity,开放数据库连接)是微软公司开放服务结构(WOSA,Windows Open Services Architecture)中有关数据库的一个组成部分,它建立了一组规范,并提供了一组对数据库访问的标准API(应用程序编程接口)。
    JDBC(Java Data Base Connectivity,java数据库连接)是一种用于执行SQL语句的Java API,可以为多种关系数据库提供统一访问,它由一组用Java语言编写的类和接口组成。

第 8 题

以下关于软件质量管理过程的叙述中,不正确的是:(  )。

  • (A) 验证过程的目的是确保活动的输出产品满足活动的规范说明
  • (B) 确认过程的目的是确保产品满足其特定的目标
  • (C) 技术评审的目的之一是评价所用管理方法的有效性
  • (D) 审计是正式组织的活动

答案与解析

  • 试题难度:一般
  • 知识点:项目质量管理>过程分析
  • 试题答案:[['C']]
  • 试题解析:

    本考题考查的知识点为软件工程基础知识,出自《系统集成项目管理工程师教程(第2版)》第3章 信息系统集成专业技术知识,全书第136页。
    软件质量指的是软件特性的总和,是软件满足用户需求的能力,即遵从用户需求,达到用户满意。软件质量包括“内部质量”“外部质量”和“使用质量”三部分。软件需求定义了软件质量特性,及确认这些特性的方法和原则。
    软件质量管理过程由许多活动组成,一些活动可以直接发现缺陷,另一些活动则检查活动的价值。其中包括质量保证过程、验证过程、确认过程、评审过程、审计过程等。
    (1)软件质量保证:通过制订计划、实施和完成等活动保证项目生命周期中的软件产品和过程符合其规定的要求。
    (2)验证与确认:确定某一活动的产品是否符合活动的需求,最终的软件产品是否达到其意图并满足用户需求(A,B正确)。
    验证过程试图确保活动的输出产品已经被正确构造,即活动的输出产品满足活动的规范说明;确认过程则试图确保构造了正确的产品,即产品满足其特定的目的。
    (3)评审与审计:包括管理评审、技术评审、检查、走查、审计等。管理评审的目的是监控进展,决定计划和进度的状态,或评价用于达到目标所用管理方法的有效性。技术评审的目的是评价软件产品,以确定其对使用意图的适合性。 (C错误)
    软件审计的目的是提供软件产品和过程对于可应用的规则、标准、指南、计划和流程的遵从性的独立评价。审计是正式组织的活动(D正确),识别违例情况,并要生成审计报告,采取更正性行动。

第 9 题

以下关于质量保证的叙述中,不正确的是:(  )。

  • (A) 质量保证应该贯穿整个项目生命期
  • (B) 质量保证活动属于监控过程组
  • (C) 质量保证是对质量规划和质量控制过程的质量控制,可分为内部质量控制和外部质量控制
  • (D) 质量保证决定了项目质量控制的结果

答案与解析

  • 试题难度:容易
  • 知识点:项目质量管理>质量保证
  • 试题答案:[['B']]
  • 试题解析:本考题考查的知识点为项目质量管理基础知识。
    项目质量保证对整个项目起着关键性的作用,所以质量保证应该贯穿整个项目生命期。A正确。
    质量保证活动属于执行过程组,质量控制属于监督和控制过程组。B不正确。
    项目质量管理由过程组成,是项目管理的重要组成部分,包括确定质量政策、目标与职责的各过程和活动,从而使项目满足其预定的需求。而质量保证活动就是督促项目按照过程标准来执行,所以C正确。
    实施质量保证是审计质量要求和质量控制测量结果,确保采用合理的质量标准和操作性定义的过程。D正确。

第 10 题

根据GB/T-17544,软件包质量要求包括三部分,即产品描述要求、(  )  、程序和数据要求。

  • (A) 用户文档要求
  • (B) 系统功能要求
  • (C) 设计要求说明
  • (D) 软件配置要求

答案与解析

  • 试题难度:一般
  • 知识点:知识产权与标准化知识>软件文档管理指南
  • 试题答案:[['A']]
  • 试题解析:

    本考题考查的知识点为软件包质量概念,出自《信息技术软件包质量要求和测试》(GB/T 17544)。
    软件包包括产品描述要求、用户文档要求、程序和数据要求。所以选A。
    软件设计要求说明在《软件设计规范》中体现。
    软件配置要求一般在配置管理计划当中。

第 11 题

软件维护工作包括多种类型,其中(  )的目的是检测并更正软件产品中的潜在错误,防止它们成为实际错误。


  • (A) 更正性维护
  • (B) 适应性维护
  • (C) 完善性维护
  • (D) 预防性维护

答案与解析

  • 试题难度:容易
  • 知识点:信息系统开发基础>软件运行与维护
  • 试题答案:[['D']]
  • 试题解析:

    本考题考查的知识点为软件维护基础知识,出自《系统集成项目管理工程师教程(第2版)》第3章 信息系统集成专业技术知识,全书第136页。
    软件维护有如下类型:
    (1)更正性维护:更正交付后发现的错误;
    (2)适应性维护:使软件产品能够在变化后或变化中的环境中继续使用;
    (3)完善性维护:改进交付后产品的性能和可维护性;
    (4)预防性维护:在软件产品中的潜在错误成为实际错误前,检测并更正它们。所以选D。

第 12 题

《信息技术软件工程术语》(GB/T 11457-2006)规定了配置管理的三种基线,它们是(  ) 。

  • (A) 功能基线、测试基线和原始基线
  • (B) 功能基线、分配基线和产品基线
  • (C) 产品基线、分配基线和测试基线
  • (D) 产品基线、原始基线和测试基线

答案与解析

  • 试题难度:一般
  • 知识点:项目配置管理>配置管理
  • 试题答案:[['B']]
  • 试题解析:本考题考查的知识点为软件配置管理基础知识。
    配置管理的三种基线分别为:功能基线(最初通过的功能配置)、分配基线(最初通过的分配的配置)、产品基线(最初通过的或有条件地通过的产品配置)。所以选B。

第 13 题

以下叙述中,不符合《软件文档管理指南》(

GB/T 16680 ) 规定的是:(  )。

  • (A) 质量保证计划属于管理文档
  • (B) 详细设计评审需要评审程序单元测试计划
  • (C) 文档的质量可以按文档的形式和列出的要求划分为四级
  • (D) 软件产品的所有文档都应该按规定进行签署,必要时进行会签

答案与解析

  • 试题难度:一般
  • 知识点:知识产权与标准化知识>软件文档管理指南
  • 试题答案:[['A']]
  • 试题解析:

    本考题考查的知识点为软件文档管理基础知识。
    软件文档根据文档产生和使用范围可分为:开发文档,产品文档和管理文档。
    1.开发文档:描述开发过程本身,基本文档包括:可行性研究报告和项目任务书、需求规格说明、功能规格说明、设计规格说明、开发计划、软件集成和测试计划、质量保证计划、安全和测试信息。 A选项说法错误,当选。
    2.管理文档建立在项目管理信息的基础上,
    例如:
    (1)开发过程中各个阶段的进度和进度变更的记录;
    (2)变更软件详情的记录;
    (3)相对于开发的判定记录;
    (4)职责定义。
    3.产品文档描述开发过程的产物,基本文档包括:培训手册、参考手册和用户指南、软件支持手册、产品手册和信息广告。
    文档的质量按文档的形式和列出要求划分为四级,分别为最低限度文档、内部文档、工作文档和正式文档。

第 14 题

《计算机软件可靠性与可维护性管理》(GB/T 14394-2008)提出了软件生存周期各个阶段进行软件可靠性和可维护性管理的要求。“测量可靠性,分析现场可靠性是否达到要求”是(  )的可靠性和可维护性管理要求。

  • (A) 获取过程
  • (B) 供应过程
  • (C) 开发过程
  • (D) 运作过程和维护过程

答案与解析

  • 试题难度:一般
  • 知识点:知识产权与标准化知识>计算机软件可靠性和可维护性管理
  • 试题答案:[['D']]
  • 试题解析:

    本考题考查的知识点为计算机软件可靠性与可维护性管理知识。
    在GB/ T14394‐2008 中对软件运作和维护过程中的可靠性和可维护性要求如下:
    (1)制定并实施软件可靠性数据采集规程;
    (2)实施软件FRACAS;
    (3)测量可靠性,分析现场可靠性是否达到要求;
    (4)跟踪用户满意程度;
    (5)用可靠性测量数据指导产品和工程过程的改进;
    (6)软件产品维护时执行适当的维护规程并实施适用的管理活动。

第 15 题

评估信息系统安全时,需要对风险项进行量化来综合评估安全等级。如果对于需求变化频繁这一事件,其发生概率为0.5,产生的风险影响值为5,则该风险项的风险值为(  )。

  • (A) 10
  • (B) 5.5
  • (C) 4.5
  • (D) 2.5

答案与解析

  • 试题难度:容易
  • 知识点:项目风险管理>风险定性分析
  • 试题答案:[['D']]
  • 试题解析:本考题考查的知识点为风险值计算知识。出自《系统集成项目管理工程师教程(第2版)》第十八章 项目风险管理,全书第560页。
    风险值=发生概率×风险影响值
    5×0.5=2.5 所以选D。

第 16 题

为了保护网络系统的硬件、软件及其系统中的数据,需要相应的网络安全工具。以下安全工具中,(  )被比喻为网络安全的大门,用来鉴别什么样的数据包可以进入企业内部网。

  • (A) 杀毒软件
  • (B) 入侵检测系统
  • (C) 安全审计系统
  • (D) 防火墙

答案与解析

  • 试题难度:容易
  • 知识点:信息系统安全管理>网络安全
  • 试题答案:[['D']]
  • 试题解析:

    本考题考查的知识点为网络安全工具基础知识。出自《系统集成项目管理工程师教程(第2版)》第3章 信息系统集成专业技术知识3.7.12 网络安全,全书第158页。
    网络安全中系统安全产品使用最广泛的技术就是防火墙技术,即在Internet和内部网络之间设一个防火墙。防火墙通常被比喻为网络安全的大门,用来鉴别什么样的数据包可以进入企业内部网。在应对黑客入侵方面,可以阻止基于IP包头的攻击和非信任地址的访问。但传统防火墙无法阻止基于数据内容的黑客攻击和病毒入侵,同时也无法控制内部网络之间的违规行为。 
    对企业网络用户来说,如果决定设定防火墙,那么首先需要由网络决策人员及网络专家共同决定本网络的安全策略,即确定什么类型的信息允许通过防火墙,什么类型的信息不允许通过防火墙。防火墙的职责就是根据本单位的安全策略,对外部网络与内部网络之间交流的数据进行检查,符合的予以放行,不符合的拒之门外。 
    防火墙有基于硬件的包过滤技术,还可以利用代理服务器软件实现。早期的防火墙主要起屏蔽主机和加强访问控制的作用,现在的防火墙则逐渐集成了信息安全技术中的最新研究成果,一般都具有加密、解密和压缩、解压等功能,这些技术增加了信息在互联网上的安全性。现在,防火墙技术的研究已经成为网络信息安全技术的主导研究方向。 
    防毒软件是最为人熟悉的安全软件,可以检测、清除各种文件病毒、宏病毒和邮件病毒。
    安全审计系统通过独立的、对网络行为和主机操作提供全面与忠实的记录,方便用户分析与审查事故原因,很像飞机上的黑匣子。

第 17 题

信息系统访问控制机制中,(  )是指对所有主体和客体都分配安全标签用来标识所属的安全级别,然后在访问控制执行时对主体和客体的安全级别进行比较,确定本次访问是否合法的技术或方法。

  • (A) 自主访问控制
  • (B) 强制访问控制
  • (C) 基于角色的访问控制
  • (D) 基于组的访问控制

答案与解析

  • 试题难度:一般
  • 知识点:信息系统安全管理>信息系统安全
  • 试题答案:[['B']]
  • 试题解析:

    本考题考查的知识点为信息系统访问控制基础概念。出自《信息系统项目管理师(第2版)》第二十九章 PMI权限管理基础设施 29.1.2 访问控制机制分类,全书第613页。
    访问控制是为了限制访问主体对访问客体的访问权限,从而使计算机系统在合法范围内使用,访问控制机制决定用户及代表一定用户利益的程序能做什么,及做到什么程度。访问控制是信息安全保障机制的核心内容,是实现数据保密性和完整性机制的主要手段。
    访问控制可分为以下两种:
    (1)强制访问控制(MAC):系统独立于用户行为强制执行访问控制,用户不能改变他们的安全级别或对象的安全属性,通常对数据和用户安全等级划分标签,访问控制机制通过比较安全标签来确定接受还是拒绝用户对资源的访问;所以选B。
    (2)自主访问控制(DAC):允许对象的属主来制定针对该对象的保护策略,通常DAC通过授权列表来限定主体对客体可以执行什么操作。每个主体拥有一个用户名并属于一个组或具有一个角色,每个客体拥有一个限定主体对其访问权限的访问控制列表。
    (3)基于角色的访问控制(RBAC):基于角色的控制系统中,主要关心的是保护信息的完整性。即“谁可以对什么信息执行何种动作。角色控制比较灵活,根据配置可以使某些角色接近DAC,而某些角色更接近于MAC”。
    (4)用户和组的区别。组通常仅仅是作为用户的集合,而角色一方面是用户的集合,另一方面又是权限的集合,作为中间媒介将用户和权限连接起来。当然角色可以在组的基础上实现,这样就对保持原有系统非常有利。

第 18 题

以下关于信息系统审计的叙述中,不正确的是:(  )。

  • (A) 信息系统审计是安全审计过程的核心部分
  • (B) 信息系统审计的目的是评估并提供反馈、保证及建议
  • (C) 信息系统审计师须了解规划、执行及完成审计工作的步骤与技术,并尽量遵守国际信息系统审计与控制协会的一般公认信息系统审计准则、控制目标和其他法律与规定
  • (D) 信息系统审计的目的可以是收集并评估证据以决定一个计算机系统(信息系统)是否有效做到保护资产、维护数据完整、完成组织目标

答案与解析

  • 试题难度:一般
  • 知识点:项目质量管理>项目质量管理
  • 试题答案:[['A']]
  • 试题解析:本考题考查的知识点为信息系统审计基础知识。出自《系统集成项目管理工程师教程(第2版)》第2章  信息系统集成及服务管理  2.3.3 信息系统审计,全书第127页。
    系统安全审计应是信息系统审计的基本业务。所以A不正确。
    信息系统审计业务将随着信息技术的发展而发展,为满足信息使用者不断变化的需要而增加新的服务内容,目前其基本业务如下:
    (1)系统开发审计,包括开发过程的审计、开发方法的审计,为IT规划指导委员会及变革控制委员会提供咨询服务。
    (2)主要数据中心、网络、通信设施的结构审计,包括财务系统和非财务系统的应用审计。
    (3)支持其他审计人员的工作,为财务审计人员与经营审计人员提供技术支持和培训。
    (4)为组织提供增值服务,为管理信息系统人员提供技术、控制与安全指导;推动风险自评估程序的执行。
    (5)软件及硬件供应商及外包服务商提供的方案、产品及服务质量是否与合同相符审计。
    (6)灾难恢复和业务持续计划审计。
    (7)对系统运营效能、投资回报率及应用开发测试审计。
    (8)系统的安全审计。
    (9)网站的信誉审计。
    (10)全面控制审计等。

第 19 题

虽然不同的操作系统可能装有不同的浏览器,但是这些浏览器都符合(  )协议。

  • (A) SNMP
  • (B) HTTP
  • (C) HTML
  • (D) SMTP

答案与解析

  • 试题难度:容易
  • 知识点:计算机网络基础>网络技术标准与协议
  • 试题答案:[['B']]
  • 试题解析:

    本考题考查的知识点为浏览器基础知识。
    超文本传输协议(HTTP,Hyper Text Transfer Protocol)是互联网上应用最为广泛的一种网络协议。所有的浏览器都必须遵守这个标准。
    简单网络管理协议(SNMP,Simple Network Management Protocol),是一组网络管理的标准组成,包含一个应用层协议、数据库模型和一组资源对象。
    超文本标记语言(HTML,Hyper Text Markup Language),标准通用语言下的一个应用。
    简单邮件传输协议(SMTP,Simple Mail Transfer Protocol),是一组用于由源地址到目的地址传送邮件的规则,由它来控制信件的中转方式。

第 20 题

在机房工程的设计过程中,所设计的机房工程需就有支持多种网络传输、多种物理接口的能力,是考虑了(  )原则。

  • (A) 实用性和先进性
  • (B) 安全可靠性
  • (C) 灵活性和可扩展性
  • (D) 标准化

答案与解析

  • 试题难度:一般
  • 知识点:信息系统安全管理>物理安全管理
  • 试题答案:[['C']]
  • 试题解析:本考题考查的知识点为机房工程设计原则。
    机房的设计必须满足当前的各项业务需求应用,又面向未来快速增长的发展需求,因此必须是高质量的、灵活的、开放的。在进行机房设计时,应遵循以下设计原则:
    (1)实用性和先进性。采用先进成熟的技术和设备,满足当前业务需求,兼顾未来的业务需求。尽可能采用先进的技术、设备和材料,以适应高速的数据传输需要,使整个系统在一段时期内保持技术的先进性,并具有良好的发展潜力,以适应未来业务的发展和技术升级的需要。
    (2)安全可靠性。为保证各项业务应用,网络必须具有高可靠性,绝不能出现单点故障。要对机房布局、结构设计、设备选型、日常维护等各个方面进行高可靠性的设计和建设。在关键设备采用硬件备份、冗余等可靠性技术的基础上,采用相关的软件技术提供较强的管理机制、控制手段和事故监控与安全保密等技术措施以提高电脑机房的安全可靠性。
    (3)灵活性和可扩展性。机房必须具有良好的灵活性和可扩展性,能够根据业务不断深入发展的需要,扩大设备容量,提高可容纳的用户数量。具备支持多种网络传输、多种物理接口的能力,提供技术升级、设备更新的灵活性。所以选C。
    (4)标准化。在机房系统整体设计,基于国际标准和国家颁布的有关标准,包括各种建筑、机房设计标准,电力电气保障标准以及计算机局域网、广域网标准,坚持统一规范,从而为未来的业务发展和设备增容奠定基础。
    (5)经济性,投资保护。应以较高的性能价格比构建机房,使资金的产出,投入比达到最大值。能以较低的成本、较少的人员投入来维持系统运转,提供高效能与高效益。尽可能保留并延长已有系统的投资,充分利用以往在资金与技术方面的投入。
    (6)可管理性。机房具有一定复杂性,随着业务的不断发展,管理的任务必定会日益繁重。所以在电脑中心的设计中,必须建立一套全面、完善的机房管理和监控系统。所选用的设备应具有智能化,可管理的功能,同时采用先进的管理监控系统设备及软件,实现先进的集中管理监控,实时监控、监测整个电脑机房的运行状况,实时灯光、语音报警,实时事件记录,这样可以迅速确定故障,提高的运行性能、可靠性,简化机房管理人员的维护工作,从而为机房安全、可靠的运行提供最有力的保障。

第 21 题

在建筑物综合布线系统中,由用户终端到信息插座之间的连线系统称为(  )。

  • (A) 工作区子系统
  • (B) 终端布线子系统
  • (C) 水平布线子系统
  • (D) 管理子系统

答案与解析

  • 试题难度:一般
  • 知识点:计算机网络基础>综合布线系统
  • 试题答案:[['A']]
  • 试题解析:

    本考题考查的知识点为综合布线系统知识。
    综合布线系统是一个用于传输语音、数据、影像和其他信息的标准结构化布线系统,是建筑物或建筑群的传输网络,它使语言和数据通信设备、交换设备和其他信息管理系统彼此相连接。综合布线的热物理结构一般采用模块化设计和分层星型拓扑结构。系统结构有6个独立的子系统:
    (1)工作区子系统:它是工作区内终端设备连接到信息插座之间的设备组成(所以选A),包括信息插座、连接软线、适配器、计算机、网络集散器、电话、报警探头、摄像机、监视器、音响等。
    (2)水平子系统:水平子系统是布置在同一楼层上,一端接在信息插座,另一端接在配线间的跳线架上,它的功能是将干线子系统线路延伸到用户工作区,将用户工作区引至管理子系统,并为用户提供一个符合国际标准,满足语音及高速数据传输要求的信息点出口。

    (3)管理子系统:安装有线路管理器件及各种公用设备,实现整个系统集中管理,它是干线子系统和水平子系统的桥梁,同时又可为同层组网提供条件。其中包括双绞线跳线架、跳线(有快接式跳线和简易跳线之分)。
    (4)垂直干线子系统:通常它是由主设备间至各层管理间,特别是在位于中央点的公共系统设备处提供多个线路设施,采用大对数的电缆馈线或光缆,两端分别端接在设备间和管理间的跳线架上,目的是实现计算机设备、程控交换机(PBX)、控制中心与各管理子系统间的连接,是建筑物干线电缆的路由。
    (5)设备间子系统:该子系统是由设备间中的电缆、连接跳线架及相关支撑硬件、防雷电保护装置等构成。可以说是整个配线系统的中心单元,因此它的布放、造型及环境条件的考虑适当与否,直接影响到将来信息系统的正常运行及维护和使用的灵活性。
    (6)建筑群子系统:它是将多个建筑物的数据通信信号连接成一体的布线系统,它采用架空或地下电缆管道或直埋敷设的室外电缆和光缆互连起来,是结构化布线系统的一部分,支持提供楼群之间通信所需的硬件。

第 22 题

在网络系统的设计与实施过程中,需要重点考虑网络在(  )方面的可扩展性。

  • (A) 规模和性能
  • (B) 规模和安全
  • (C) 功能和性能
  • (D) 功能和带宽

答案与解析

  • 试题难度:一般
  • 知识点:计算机网络基础>网络规划与设计
  • 试题答案:[['A']]
  • 试题解析:

    本考题考查的知识点为网络规划、设计与实施知识,出自《系统集成项目管理工程师教程(第2版)》第3章信息系统集成专业技术知识,全书第156页。

    网络工程是一项复杂的系统工程,涉及技术问题、管理问题等,必须遵守一定的系统分析和设计方法。网络总体设计就是根据网络规划中提出的各种技术规范和系统性能要求,以及网络需求分析的要求,制订出一个总体计划和方案。
    网络设计工作包括:
    (1)网络拓扑结构设计
    网络的拓扑结构主要是指园区网络的物理拓扑结构,因为如今的局域网技术首选的是交换以太网技术。采用以太网交换机,从物理连接看拓扑结构可以是星型、扩展星型或树型等结构,从逻辑连接看拓扑结构只能是总线结构。对于大中型网络考虑链路传输的可靠性,可采用冗余结构。确立网络的物理拓扑结构是整个网络方案规划的基础,物理拓扑结构的选择往往和地理环境分布、传输介质与距离、网络传输可靠性等因素紧密相关。选择拓扑结构时,应该考虑的主要因素有:地理环境、传输介质与距离以及可靠性。
    (2)主干网络(核心层)设计
    主干网技术的选择,要根据以上需求分析中用户方网络规模大小、网上传输信息的种类和用户方可投入的资金等因素来考虑。一般而言,主干网用来连接建筑群和服务器群,可能会容纳网络上 50%~80%的信息流,是网络大动脉。连接建筑群的主干网一般以光缆做传输介质,典型的主干网技术主要有 100Mbps-FX以太网、l000Mbps以太网、 ATM等。
    (3)汇聚层和接入层设计
    汇聚层的存在与否,取决于网络规模的大小。当建筑楼内信息点较多(比如大于 22个点)超出一台交换机的端口密度,而不得不增加交换机扩充端口时,就需要有汇聚交换机。交换机间如果采用级连方式,则将一组固定端口交换机上联到一台背板带宽和性能较好的汇聚交换机上,再由汇聚交换机上联到主干网的核心交换机。如果采用多台交换机堆叠方式扩充端口密度,其中一台交换机上联,则网络中就只有接入层。
    (4)广域网连接与远程访问设计
    根据网络规模的大小、网络用户的数量,来选择对外连接通道的带宽。如果网络用户没有 WWW、E-mail等具有 Internet功能的服务器,用户可以采用 ISDN或 ADSL等技术连接外网。如果用户有 WWW、E-mail等具有 Internet功能的服务器,用户可采用 DDN(或 E1)专线连接、ATM交换及永久虚电路连接外网。如果用户与网络接入运营商在同一个城市,也可以采用光纤 10Mbps/100Mbps的速率连接 Internet。
    (5)无线网络设计
    无线网络的出现就是为了解决有线网络无法克服的困难。无线网络首先适用于很难布线的地方(比如受保护的建筑物、机场等)或者经常需要变动布线结构的地方(如展览馆等)。学校也是一个很重要的应用领域,一个无线网络系统可以使教师、学生在校园内的任何地方接入网络。另外,因为无线网络支持十几公里的区域,因此对于城市范围的网络接入也能适用,可以设想一个采用无线网络的 ISP可以为一个城市的任何角落提供高达 10Mbps的互联网接入。
    (6)网络通信设备选型
    网络通信设备选型包括核心交换机选型、汇聚层 /接入层交换机选型、远程接入与访问设备选型。
    根据加粗字体我们可以看出此题选A。

第 23 题

存储转发是网络传输的一种形式,其问题是不确定在每个节点上的延迟时间。克服该问题最有效的方式是(  )。

  • (A) 设计更有效的网络缓冲区分配算法
  • (B) 设置更大的缓冲区
  • (C) 提高传输介质的传输能力
  • (D) 减少分组的长度

答案与解析

  • 试题难度:一般
  • 知识点:计算机网络基础>计算机网络基础其他
  • 试题答案:[['C']]
  • 试题解析:

    本题考查的知识点为交换方式、拥塞控制方面的基本知识。
    首先来看选项A,设计更有效的网络缓冲区分配算法对于解决延迟问题效果不明显。
    然后看选项B,设置更大的缓冲区可能反而导致延迟时间的增加。
    接着看选项C,提高传输介质的传输能力,会使得接收到分组后能迅速地从输出介质上传送出去,是减少延迟的最有效措施的方法。所以此题选C。
    选项D的话, 减少分组的长度是不能解决延迟问题的。

第 24 题

TCP/IP协议簇中所定义的TCP和UDP协议,实现了OSI七层模型中的(  )的主要功能。

  • (A) 物理层
  • (B) 网络层
  • (C) 传输层
  • (D) 应用层

答案与解析

  • 试题难度:一般
  • 知识点:计算机网络基础>开放系统互连参考模型
  • 试题答案:[['C']]
  • 试题解析:本考题考查的知识点为 OSI框架中各层的主要网络协议。


第 25 题

在人事管理系统中,计算企业员工的报酬可以利用面向对象的(  )技术,使系统可以用有相同名称、但有不同核算方法的对象来计算专职员工和兼职员工的报酬。

  • (A) 多态
  • (B) 继承
  • (C) 封装
  • (D) 复用

答案与解析

  • 试题难度:容易
  • 知识点:信息系统开发基础>面向对象基本概念
  • 试题答案:[['A']]
  • 试题解析:本考题考查的知识点为面向对象的基本概念。出自《系统集成项目管理工程师教程(第2版)》第3章 信息系统集成专业技术知识 3.4.1 面向对象的基本概念,全书第138页。
    面向对象的基本概念有对象、类、抽象、封装、继承、多态、接口、消息、组件、模式和复用等。
    首先来看选项A(多态性):
    多态性是一种方法,这种方法使得在多个类中可以定义同一个操作或属性名,并在每个类中可以有不同的实现。多态性使得一个属性或变量在不同的时期可以表示不同类的对象。 所以此题选A。

    然后来看选项B(继承):
    继承表示类之间的层次关系,这种关系使得某类对象可以继承另外一类对象的特征(attributes)和能力(operations),继承又可分为单继承和多继承,单继承是子类只从一个父类继承,而多继承中的子类可以从多于一个的父类继承,Java是单继承的语言,而C++允许多继承。假设类B继承类A,即类B中的对象具有类A的一切特征(包括属性和操作)。类A称为基类或父类或超类,类B称为类A的派生类或子类,类B在类A的基础上还可以有一些扩展。
    接着来看选项C(封装):
    封装是将相关的概念组成一个单元,然后通过一个名称来引用它。面向对象封装是将数据和基于数据的操作封装成一个整体对象,对数据的访问或修改只能通过对象对外提供的接口进行。对于银行账户类而言,有取款和存款的行为特征,但实现细节对于客户而言并不可见,所以在进行ATM提款交易的过程中,我们并不知道交易如何进行,对应账户是如何保存状态的,这就体现了对象的封装。 
    最后来看选项D(复用):
    软件复用是指将已有的软件及其有效成分用于构造新的软件或系统。组件技术是软件复用实现的关键。

第 26 题

以下关于UML的叙述中,不正确的是:(  )。


  • (A) UML适用于各种开发方法
  • (B) UML适用于软件生命周期的各个阶段
  • (C) UML是一种可视化的建模语言
  • (D) UML也是一种编程语言

答案与解析

  • 试题难度:容易
  • 知识点:信息系统开发基础>UML
  • 试题答案:[['D']]
  • 试题解析:本考题考查的知识点为标准建模语言知识,出自《系统集成项目管理工程师教程(第2版)》第3章 信息系统集成专业技术知识,全书第140页。
    统一建模语言Unified Modeling Language (UML)用于对软件进行可视化描述、构造和建立软件系统的文档。UML适用于各种软件开发方法(选项A正确)、软件生命周期的各个阶段(选项B正确)、</span>各种应用领域以及各种开发工具,是一种总结了以往建模技术的经验并吸收当今优秀成果的标准建模方法。需要注意的是,UML是一种可视化的建模语言(选项C正确),而不是编程语言(选项D错误)。

第 27 题

在面向对象系统中,( )关系表示一个较大的“整体”类包含一个或多个“部分”类。

  • (A) 概化
  • (B) 合成
  • (C) 泛化
  • (D) 聚合

答案与解析

  • 试题难度:一般
  • 知识点:信息系统开发基础>面向对象基本概念
  • 试题答案:[['D']]
  • 试题解析:
    本考题考查的知识点为面向对象系统基础知识。
    聚合是关联关系的一种特例,他体现的是整体与部分、拥有的关系,即has-a的关系,此时整体与部分之间是可分离的,他们可以具有各自的生命周期,部分可以属于多个整体对象,也可以为多个整体对象共享;比如计算机与CPU、公司与员工的关系等;表现在代码层面,和关联关系是一致的,只能从语义级别来区分。所以此题选D。
    另外,UML中还有继承、实现、依赖、关联和组合等多种类间关系。以下介绍主要的四种关系:

    依赖:指两个事物之间的语义关系,其中一个事物发生变化会影响另一个事物的语义。

    关联:描述一组对象之间连接的结构关系。题目中体现的聚合时该关系一种特例。

    泛化:是一般化和特殊化的关系,描述特殊元素的对象可替换一般元素的对象。

    实现:是类之间的语义关系,其中一个类指定了由另一个类保证执行的契约。

第 28 题

根据《中华人民共和国合同法》,以下叙述中,正确的是:(  )。


  • (A) 当事人采用合同书形式订立合同的,自合同付款时间起合同生效
  • (B) 只有书面形式的合同才受法律的保护
  • (C) 当事人采用信件、数据电文等形式订立合同的,可以在合同成立之前要求签订确认书,签订确认书时合同成立
  • (D) 当事人采用合同书形式订立合同的,甲方的主营业地为合同成立的地点

答案与解析

  • 试题难度:一般
  • 知识点:项目采购管理>合同管理
  • 试题答案:[['C']]
  • 试题解析:本考题考查的知识点为合同法知识,出自《中华人民共和国合同法》。
    根据《中华人民共和国合同法》 第三十二条 当事人采用合同书形式订立合同的,自双方当事人签字或者盖章时合同成立。所以A不正确。
    根据《中华人民共和国合同法》第十条 当事人订立合同,有书面形式、口头形式和其他形式。所以B不正确。
    根据《中华人民共和国合同法》第三十五条 当事人采用合同书形式订立合同的,双方当事人签字或者盖章的地点为合同成立的地点。所以D不正确。
    根据《中华人民共和国合同法》第三十三条 当事人采用信件、数据电文等形式订立合同的,可以在合同成立之前要求签订确认书。签订确认书时合同成立。所以C选项正确。

第 29 题

格式条款是当事人为了重复使用而预先拟定,并在订立合同时未与对方协商的条款。对于格式条款,不正确的是:(  )。

  • (A) 提供格式条款一方免除其责任、加重对方责任、排除对方主要权利的,该条款无效
  • (B) 格式条款和非格式条款不一致的,应当采用格式条款
  • (C) 对格式条款有两种以上解释的,应当作出不利于提供格式条款一方的解释
  • (D) 采用格式条款订立合同的,提供格式条款的一方应当遵循公平原则确定当事人之间的权利和义务

答案与解析

  • 试题难度:一般
  • 知识点:项目采购管理>合同管理
  • 试题答案:[['B']]
  • 试题解析:本考题考查的知识点为合同法知识,出自《中华人民共和国合同法》。
    根据《中华人民共和国合同法》第四十一条 对格式条款的理解发生争议的,应当按通常理解予以解释。对格式条款有两种以上解释的,应当作出不利于提供格式条款一方的解释。格式条款和非格条式款不一致的,应当采用非格式条款。所以B不正确,C正确。
    根据《中华人民共和国合同法》第四十条 格式条款具有本法第五十二条和第五十三条规定情形的,或者提供格式条款一方免除其责任、加重对方责任、排除对方主要权利的,该条款无效。所以A正确。
    根据《中华人民共和国合同法》第三十九条 采用格式条款订立合同的,提供格式条款的一方应当遵循公平原则确定当事人之间的权利和义务,并采取合理的方式提请对方注意免除或者限制其责任的条款,按照对方的要求,对该条款予以说明。格式条款是当事人为了重复使用而预先拟定,并在订立合同时未与对方协商的条款。所以D正确。

第 30 题

依据《中华人民共和国招标投标法》,以下叙述中,不正确的是:(  )。

  • (A) 招标人具有编制招标文件和组织评标能力的,可以自行办理招标事宜
  • (B) 招标人不可以自行选择招标代理机构
  • (C) 依法必须进行招标的项目,招标人自行办理招标事宜的,应当向有关行政监督部门备案
  • (D) 招标代理机构与行政机关和其他国家机关不得存在隶属关系或者其他利益关系

答案与解析

  • 试题难度:容易
  • 知识点:项目采购管理>招投标法、合同法与索赔管理
  • 试题答案:[['B']]
  • 试题解析:本考题考查的知识点为招标投标法,出自《中华人民共和国招标投标法》
    根据《中华人民共和国招标投标法》第十二条 招标人有权自行选择招标代理机构(所以选B),委托其办理招标事宜。任何单位和个人不得以任何方式为招标人指定招标代理机构。招标人具有编制招标文件和组织评标能力的,可以自行办理招标事宜。任何单位和个人不得强制其委托招标代理机构办理招标事宜。依法必须进行招标的项目,招标人自行办理招标事宜的,应当向有关行政监督部门备案。
    根据《中华人民共和国招标投标法》第十四条 招标代理机构与行政机关和其他国家机关不得存在隶属关系或者其他利益关系。
    因此,A、C、D都正确,B不正确。

第 31 题

以下关于项目章程的叙述中,正确的是:(  )。

  • (A) 项目章程与合同内容是一致的
  • (B) 项目章程要由项目经理发布
  • (C) 项目章程要明确项目在组织中的地位
  • (D) 项目章程就是一个程序文件

答案与解析

  • 试题难度:容易
  • 知识点:项目整体管理>制定项目章程
  • 试题答案:[['C']]
  • 试题解析:本考题考查的知识点为项目章程基础知识,出自《系统集成项目管理工程师教程(第2版)》 第6章 项目整体管理,全书第244,245页。
    制定项目章程是编写一份正式批准项目并授权项目经理在项目活动中使用阻止资源的文件的过程。项目章程宣告一个项目的正式启动、项目经理的任命,并对项目的目标、范围、主要可交付成果、主要制约因素与主要假设条件等进行总体性描述。
    项目章程是用来定义项目和授权项目经理用的。合同是签订各方的真实意愿的表达。合同一般都很细致全面,而项目章程可以很粗略。项目章程和合同内容一致,与前面的描述不符,所以A选项错误。
    项目经理可以参与甚至起草项目章程,但项目章程是由项目以外的实体来发布的,如发起人、项目集或项目管理办公室职员,或项目组合治理委员会主席或授权代表。所以选项B也错误。
    程序文件是在质量管理体系中质量手册的下一级文件层次,规定某项工作的一般过程。明显项目章程不是程序文件。所以选项D也错误。
    虽然没有专门的条款说过项目章程要明确项目在组织中的地位,但是项目章程本身是定义项目的,顺带说下它在组织中的地位也未尝不可,所以C是最优选项。

第 32 题

项目工作说明书是对项目所要提供的产品、成果或服务的描述,其内容一般不包括 (  )。

  • (A) 业务要求
  • (B) 产品范围描述
  • (C) 项目目标
  • (D) 技术可行性分析

答案与解析

  • 试题难度:容易
  • 知识点:项目整体管理>制定项目章程
  • 试题答案:[['D']]
  • 试题解析:本考题考查的知识点为项目工作说明书知识。
    工作说明书是对项目所要提供的产品或服务的叙述性的描述。对内部项目而言,项目发起人或投资者基于业务的需要、或产品或服务的需求提出工作说明书。对外部项目而言,工作说明书作为投标文档的一部分从客户那里得到,如:邀标书,投标的信息,投标邀请书,或者作为合同的一部分得到。
    工作说明书包括以下几个内容:
    (1)业务要求:一个组织的业务要求可能基于需要的培训,市场需要,技术的进步,法律的要求或政府的标准。 A属于。
    (2)产品范围描述:记述项目要创建的产品的需求以及产品或服务的特性。通常,产品需求在项目的启动过程中并不是很详细,在后续的过程中随着产品特性的明晰会逐渐细化。这些需求也要记述项目所创造的产品或服务与业务要求或其他引出产品要求的刺激因素之间的关系。虽然产品需求文档形式和实质内容各不相同,但他应该总是保持足够详细以支持后续的项目规划。 B属于
    (3)战略计划:所有项目要支持组织的战略目标——执行组织的战略计划作为项目选择的一个要素来考虑。C属于。
    所以只有D不属于,此题选D。

第 33 题

在项目计划阶段由于各种约束条件尚不清晰,所以在计划过程中会遵循基本的方法论以指导项目计划的制定。(  )属于项目管理方法论的一部分。

  • (A) 计划的标准格式和模板
  • (B) 项目相关授权
  • (C) 项目干系人的技能
  • (D) 初步范围说明书

答案与解析

  • 试题难度:一般
  • 知识点:项目整体管理>制定项目管理计划
  • 试题答案:[[A]]
  • 试题解析:本考题考查的知识点为项目计划知识。
    在项目计划阶段中,项目管理方法论在项目管理团队制定项目管理计划和控制项目管理计划的变更起着关键性的作用,例如组织过程资产中的历史项目信息、标准指导方针、模板、工作指南等对项目管理计划的制定都有着直接的帮助。 
    项目管理方法论上主要有:阶段化管理、量化管理和优化管理三个方面。
    阶段化管理指的是从立项之初直到系统运行维护的全过程。根据工程项目的特点,我们可将项目管理分为若干个小的阶段:信息采集、信息分析、工程项目立项及项目申请书的编写。
    量化管理:在公司的运作方面,应尽可能的进行数量化,做到责任清楚。
    优化管理:分析项目每部分所蕴涵的知识、经验和教训,更好地发扬项目进程中的经验,吸取教训,在全公司传播有益的知识。
    所以标准格式和模板属于项目管理方法论的重要组成部分,此题选A。

第 34 题

在项目收尾阶段,召开项目总结会议,总结项目实施中的成功和尚需改进之处,属于项目管理中的(  )。

  • (A) 合同收尾
  • (B) 管理收尾
  • (C) 会议收尾
  • (D) 组织过程资产收尾

答案与解析

  • 试题难度:容易
  • 知识点:项目整体管理>项目收尾
  • 试题答案:[['B']]
  • 试题解析:

    本考题考查的知识点为项目总结基础知识,出自《系统集成项目管理工程师教程(第2版)》第19章 项目收尾管理,全书第578页。
    项目总结属于项目收尾的管理收尾。而管理收尾有时又被称为行政收尾(所以选B),就是检查项目团队成员及相关干系人是否按规定履行了所有责任。实施行政结尾过程还包括收集项目记录、分析项目成败、收集应吸取的教训,以及将项目信息存档供本组织将来使用等活动统一为一个整体。
    1.项目总结的意义
    项目总结的主要意义如下。
    (1)了解项目全过程的工作情况及相关的团队或成员的绩效状况。
    (2)了解出现的问题并进行改进措施总结。
    (3)了解项目全过程中出现的值得吸取的经验并进行总结。
    (4)对总结后的文档进行讨论,通过后即存入公司的知识库,从而纳入企业的过程资产。
    2.项目总结会的准备工作
    (1)收集整理项目过程文档和经验教训。这需要全体项目人员共同进行,而非项目经理一人的工作。项目经理可将此项工作列入项目的收尾工作中,作为参与项目人员和团队的必要工作。项目经理还可以根据项目的实际情况对项目过程文档进行收集,对所有的文档进行归类和整理,给出具体的文档模板并加以指导和要求。
    (2)经验教训的收集和形成项目总结会议的讨论稿。在此初始讨论稿中,项目经理有必要列出项目执行过程中的若干主要优点和若干主要缺点,以有利于讨论的时候加以重点呈现。
    3.项目总结会
    项目总结会需要全体参与项目的成员都参加,并由全体讨论形成文件。项目总结会议所形成的文件一定要通过所有人的确认,任何有违此项原则的文件都不能作为项目总结会议的结果。
    项目总结会议还应对项目进行自我评价,有利于后面的项目评估和审计的工作开展。
    一般的项目总结会应讨论如下内容。
    (1)项目绩效:包括项目的完成情况、具体的项目计划完成率、项目目标的完成情况等,作为全体参与项目成员的共同成绩。
    (2)技术绩效:最终的工作范围与项目初期的工作范围的比较结果是什么,工作范围上有什么变更,项目的相关变更是否合理,处理是否有效,变更是否对项目等质量、进度和成本有重大影响,项目的各项工作是否符合预计的质量标准,是否达到客户满意。
    (3)成本绩效:最终的项目成本与原始的项目预算费用,包括项目范围的有关变更增加的预算是否存在大的差距,项目盈利状况如何。这牵扯到项目组成员的绩效和奖金的分配。
    (4)进度计划绩效:最终的项目进度与原始的项目进度计划比较结果是什么,进度为何提前或者延后,是什么原因造成这样的影响。
    (5)项目的沟通:是否建立了完善并有效利用的沟通体系;是否让客户参与过项目决策和执行的工作:是否要求让客户定期检查项目的状况:与客户是否有定期的沟通和阶段总结会议,是否及时通知客户潜在的问题,并邀请客户参与问题的解决等;项目沟通计划完成情况如何:项目内部会议记录资料是否完备等。
    (6)识别问题和解决问题:项目中发生的问题是否解决,问题的原因是否可以避免,如何改进项目的管理和执行等。
    (7)意见和建议:项目成员对项目管理本身和项目执行计划是否有合理化建议和意见,这些建议和意见是否得到大多数参与项目成员的认可,是否能在未来项目中予以改进。

第 35 题

某项目由并行的3个模块A、B和C组成,其中活动A 需要3人5天时间完成,活动B需要6人7天时间完成,活动C需要4人2天时间完成。为了保证项目在最低时间内完成,则最少应该为项目组配置(  )人。假设活动A、B和C按时完成的概率分别多80%、70%和100%,则该项目按时完成的概率为(  )。


  • (A) 6
  • (B) 9
  • (C) 1 0
  • (D) 13
  • (A) 50%
  • (B) 56%
  • (C) 64%
  • (D) 90%

答案与解析

  • 试题难度:一般
  • 知识点:项目时间管理>制订进度计划
  • 试题答案:[['C'],['B']]
  • 试题解析:本考题考查的知识点为项目资源平衡计算题和项目风险管理计算题。
    第一问:我们知道A、B和C可同时进行,那么最短时间就是7天。但是如果A、B和C同时进行比较浪费资源,所以可以先B、C同时进行,然后C完成后接着做A,可以得知最少需要10人才能在最短时间内完成。 所以选C。
    第二问:项目完工概率就是三个活动概率相乘。0.8×0.7×1=0.56 所以选B。

第 36 题

某项目包括的活动情况如下表所示:

活动D和活动F只能在活动C结束后开始。活动A和活动B可以在活动C开始后的任何时间内开始,但是必须在项目结束前完成。活动E只能在活动D完成后开始。活动B是在活动C开始1天后才开始的。在活动B的过程中,发生了一件意外事件,导致活动B延期2天。为了确保项目按时完成,(  )。

  • (A) 应为活动B添加更多资源
  • (B) 可不需要采取任何措施
  • (C) 需为关键路径上的任务重新分配资源
  • (D) 应为活动D添加更多的资源

答案与解析

  • 试题难度:容易
  • 知识点:项目时间管理>关键路径法
  • 试题答案:[['B']]
  • 试题解析:本考题考查的知识点为项目进度管理综合知识。

    本题题画简易的时标网络图可快速解答。原关键路径为C-D-E。

    B这个活动在C开始1天后开始,原计划完成时间是在第4天,后来延误两天到B',那就是第6天,还是在E结束前完成的,所以不影响整个项目完成时间。所以本题选B。

第 37 题

WBS最底层的工作单元被称为工作包。以下关于工作包的叙述中,正确的是:(  )。

  • (A) 可依据工作包来确定进度安排、成本估算等工作
  • (B) 工作包可以非常具体,也可以很粗略,视项目情况而定
  • (C) 如果项目规模很大,也可以将其分解为子项目,这时子项目可以认为是一个工作包
  • (D) 工作包的规模应该较小,可以在40小时之内完成

答案与解析

  • 试题难度:一般
  • 知识点:项目范围管理>创建工作分解结构
  • 试题答案:[['A']]
  • 试题解析:本考题考查的知识点为WBS基础知识,出自《系统集成项目管理工程师教程(第2版)》第7章 项目范围管理,全书第277页。
    工作包是位于工作分解结构每条分支最底层的可交付成果或项目工作组成部分。由于工作包便于完整地分派给不同的人或组织,所以要求明确各工作单元之间的界面。工作包应该非常具体,以便承担者能明确自己的任务、努力的目标和承担的责任,工作包是基层任务或工作的指派,同时其具有检测和报告工作的作用。所有工作包的描述必然让成本会计管理者和项目监管人员理解,并能够清楚区分不同工作包的工作的同时,工作包的大小也是需要考虑的细节,如果工作包太大,那么难以达到可管理、可控制的目标,如果工作包太小,那么工作分解结构就要消耗项目管理人员和项目团队成员的大量时间和精力。作为一种经验法则,8/80规则(80小时原则)建议工作包的大小应该至少需要8个小时来完成,而总完成时间也不应该大于80小时。
    WBS最底层的工作单元被称为工作包,是我们进行进度安排、成本估算和监控的基础。所以A正确。
    工作包需要确定项目范围。所以B不正确。
    工作包的规模较小。所以C不正确。
    工作包的大小应该至少需要8个小时来完成,而总完成时间也不应该大于80个小时。所以D不正确。

第 38 题

投标文件中存在对招标文件响应的非实质性的微小偏差,则该投标文件应(  )。

  • (A) 不予淘汰,但需订立合同前予以澄清
  • (B) 不予淘汰,但需在评标结束前予以澄清
  • (C) 不予淘汰,允许投标人重新投标
  • (D) 予以淘汰

答案与解析

  • 试题难度:一般
  • 知识点:项目采购管理>询价/招投标
  • 试题答案:[[B]]
  • 试题解析:本考题考查的知识点为招标投标法,出自《中华人民共和国招标投标法》。
    根据《中华人民共和国招标投标法》第三十九条 评标委员会可以要求投标人对投标文件中含义不明确的内容作必要的澄清或者说明,但是澄清或者说明不得超出投标文件的范围或者改变投标文件的实质性内容。 所以选B

第 39 题

在评标过程中,发现有一投标单位提交了两份不同的投标文件,而且招标文件中也未要求提交备选投标,则应(  )。

  • (A) 否决其投标
  • (B) 以最低报价投标文件为准
  • (C) 以最高得分投标文件为准
  • (D) 征求投标方的建议后决定

答案与解析

  • 试题难度:一般
  • 知识点:项目采购管理>招投标法、合同法与索赔管理
  • 试题答案:[['A']]
  • 试题解析:本考题考查的知识点为项目投标基础知识。出自《中华人民共和国招标投标法》第五十一条。
     第五十一条 有下列情形之一的,评标委员会应当否决其投标:
        (一)投标文件未经投标单位盖章和单位负责人签字;
        (二)投标联合体没有提交共同投标协议;
        (三)投标人不符合国家或者招标文件规定的资格条件;
        (四)同一投标人提交两个以上不同的投标文件或者投标报价,但招标文件要求提交备选投标的除外;
        (五)投标报价低于成本或者高于招标文件设定的最高投标限价;
        (六)投标文件没有对招标文件的实质性要求和条件作出响应;
        (七)投标人有串通投标、弄虚作假、行贿等违法行为。
    若招标文件中没有要求提交备选投标,这种情况应该否决其投标。所以此题选A。

第 40 题

绩效报告一般不包括(  )方面的内容。

  • (A) 项目的进展情况
  • (B) 成本支出情况
  • (C) 项目存在的问题及解决方案
  • (D) 干系人沟通需求

答案与解析

  • 试题难度:容易
  • 知识点:项目沟通管理>绩效报告
  • 试题答案:[['D']]
  • 试题解析:本考题考查的知识点为绩效报告基础知识,出自《系统集成项目管理工程师教程(第2版)》第12章 项目沟通管理和干系人管理,全书第413页。
    工作绩效报告是指项目进行过程中,项目经理应该定期或者不定期的检查项目的进度、成本等有关项目当前的绩效以及状态,并且形成工作绩效报告。全面的、准确的、及时的工作绩效报告有利于进行讨论和建立沟通,是高质量沟通的保证。所以A、B、C都正确。此题选D。

第 41 题

以下对沟通管理计划的理解中,正确的是(  )。

  • (A) 沟通管理计划不仅包括项目干系人的需求和预期,还包括用于沟通的信息,如格式、内容、细节水平等
  • (B) 由于项目具有独特性,一个公司的各个项目不宜采取统一格式记录及传递信息
  • (C) 对于不同层次的项目干系人,也应规定相同的信息格式
  • (D) 沟通需求分析是项目干系人信息需求的汇总,而项目的组织结构不会影响项目的沟通需求

答案与解析

  • 试题难度:容易
  • 知识点:项目沟通管理>制订沟通管理计划
  • 试题答案:[['A']]
  • 试题解析:本考题考查的知识点为对于沟通管理计划的理解,出自《系统集成项目管理工程师教程(第2版)》第12章 项目沟通管理和干系人管理,全书第410-412页。
    沟通管理计划包括干系人的沟通需求,还需针对沟通信息的描述,包括格式、内容、详尽程度等。所以选A。
    一个公司的各个项目应该基本采取统一格式记录信息以及进行传递,管理部门总结好的模板进行分享,或有助于信息格式标准化,以免引起不必要的混乱。所以B错误 。
    对于不同层次的项目干系人,应规定不同的信息格式。所以C错误。
    项目的组织结构肯定会影响项目的沟通需求。 所以D错误。

第 42 题

对于干系人的管理可使项目沿预期轨道进行,在进行干系人分析时,可使用权力/利益方格的方法,以下叙述中,正确的是:(  )。


  • (A) 对于权力高、利益低的干系人管理策略是随时汇报,重点关注
  • (B) 对于权力高、利益高的干系人的管理策略是重点管理,及时报告
  • (C) 对于权力低、利益高的干系人的管理策略是花较少的精力监督即可
  • (D) 对于权力低、利益低的干系人的管理策略是可以忽略不计

答案与解析

  • 试题难度:容易
  • 知识点:项目沟通管理>干系人管理
  • 试题答案:[['B']]
  • 试题解析:

    本考题考查的知识点为干系人管理基础知识,出自《系统集成项目管理工程师教程(第2版)》第12章 项目沟通管理和干系人管理,全书第425页。
    识别每个干系人可能产生的影响或提供的支持,并把他们分类,以便制定管理策略。可用的分类方法有很多种:
    (1)权利/利益方格
    (2)权利/影响方格
    (3)影响/作用方格
    (4)凸显模型
    此题讲的是(1)权利/利益方格 如下图:

    在权利/利益方格中:
    权力大/利益高的干系人,重点管理,随时汇报;
    权力大/利益低的干系人,使其满意;
    权力小/利益高的干系人,随时告之;
    权力小/利益低的干系人,监督。

第 43 题

开发的产品不再符合市场需要,这种状况属于项目的(  )。

  • (A) 技术风险
  • (B) 社会风险
  • (C) 商业风险
  • (D) 组织风险

答案与解析

  • 试题难度:一般
  • 知识点:项目风险管理>项目风险管理
  • 试题答案:[['C']]
  • 试题解析:本考题考查的知识点为风险管理基础知识。
    不符合市场需要是属于商业风险,所以此题选C。
    商业风险主要包括五个风险:市场风险、策略风险、销售风险、管理风险、预算风险。 
    (1)市场风险:开发了一个没有人真正需要的优秀产品或系统。 
    (2)策略风险:开发的产品不符合公司的整体商业策略。 
    (3)销售风险:开发了一个销售部门不知道如何去卖的产品。 
    (4)管理风险:由于重点的转移或人员的变动而失去了高级管理层的支持的风险。 
    (5)预算风险:没有得到预算或人力上的保证。

第 44 题

项目风险管理计划不包含的内容是(  )。

  • (A) 确定风险管理的方法
  • (B) 风险管理估算
  • (C) 风险类别
  • (D) 如何审计风险管理过程

答案与解析

  • 试题难度:较难
  • 知识点:项目风险管理>制订风险管理计划
  • 试题答案:[[B]]
  • 试题解析:本考题考查的知识点为规划风险管理的输出基础知识,出自《系统集成项目管理工程师教程(第2版)》第18章 项目风险管理,全书第551页。
    风险管理计划是项目管理计划的组成部分,描述将如何安排与实施风险管理活动。风险管理计划包括以下内容:
    (1)方法论;
    (2)角色和职责; 
    (3)预算; 
    (4)时间安排;
    (5)风险类别;
    (6)风险概率和影响力的定义;
    (7)概率及影响矩阵;

    (8)已修订的项目干系人对风险的容忍度; 
    (9)报告的格式;
    (10)跟踪。

第 45 题

在项目风险识别时,一般不用的技术是(  )。

  • (A) 因果图
  • (B) 流程图
  • (C) 影响图
  • (D) 帕累托图

答案与解析

  • 试题难度:一般
  • 知识点:项目风险管理>风险识别
  • 试题答案:[[D]]
  • 试题解析:本考题考查的知识点为项目风险图解技术知识,出自《系统集成项目管理工程师教程(第2版)》第18章 项目风险管理,全书第556页。
    风险图解技术可包括:
    (1)因果图,又称石川图或鱼骨图,用于识别风险的起因。(选项A)
    (2)系统或过程流程图,显示系统各要素之间的相互联系及因果传导机制。(选项B)
    (3)影响图,用图形方式表示变量与结果之间的因果关系、事件时间顺序及其他关系。(选项C)
    帕累托图又叫排列图、主次图,主要按照频率大小顺序绘制的直方图,表示有多少结果是由已确认类型或范畴的原因所造成。用于分析质量问题,确定产生质量问题的主要因素。D不符合,所以此题选D。

第 46 题

分析“应对策略实施后,期望的残留风险水平”的活动属于项目(  )的内容。

  • (A) 风险识别
  • (B) 风险分析
  • (C) 风险应对计划
  • (D) 风险监控

答案与解析

  • 试题难度:较难
  • 知识点:项目风险管理>风险监控
  • 试题答案:[['C']]
  • 试题解析:本考题考查的知识点为规划风险应对知识,出自《信息系统项目管理师教程》第12章 项目风险管理 12.6.3 风险应对计划的输出 全书第285页。

    在风险应对计划过程中,我们要选择适当的应对措施并得到一致认可,而且还要包含在风险记录中。风险记录要详细到具体执行哪些措施。重要程度为“高”和“中”的风险经常被详细地描述,而“低”重要程度的风险被列在一张“监视表”中以备定期监视。此时的风险记录包括以下组成部分。

    •已识别的风险及其描述,受影响的项目领域(如WBS元素),风险成因(如RBS元素),以及它们如何影响项目目标。
    •风险责任人及其职责。
    •定性和定量风险分析过程的结果,包括对项目风险的优先级排序及项目的概率分析。
    •一致认同的应对策略。
    •执行选定的应对策略所需的具体行动。
    •在应对策略执行后,期望的残留风险的水平。
    •风险发生时的预警和信号。
    •风险应对策略所需的预算和时间。
    •时间和成本的应急储备,目的是为项目干系人提供一定的风险承受能力。
    •启动应急计划的触发条件。
    •风险一旦发生后所采用的回退计划。
    •残留风险:残留风险是采取了规避、转移、或减轻应对措施后余留的风险,也包括已经被故意接受的风险。
    •二级风险,执行某一风险应对措施而直接引发的风险。
    •需要的应急储备量:它是通过风险的定量分析和组织对风险的承受能力来确定的。

第 47 题

(  )风险应对策略是指通过改变计划, 以排除风险,或者保护项目目标不受影响,或对受到威胁的一些项目目标放松要求。

  • (A) 消极
  • (B) 积极
  • (C) 接受
  • (D) 提高

答案与解析

  • 试题难度:一般
  • 知识点:项目风险管理>编制风险应对计划
  • 试题答案:[['A']]
  • 试题解析:本考题考查的知识点为规划风险应对知识,出自《系统集成项目管理工程师教程(第2版)》第18章 项目风险管理,全书第568-570页。
    规划风险应对的工具与技术分为:
    (1)消极风险或威胁的应对策略;
    通常用规避、转移、减轻这三种策略来应对威胁或可能给项目目标带来消极影响的风险。第四种策略即接受,既可用来应对消极风险或威胁,也可用来应对积极风险或机会。
    风险规避是指项目团队采取行动来消除威胁,或保护项目免受风险影响的风险应对策略。通常包括改变项目管理计划,以完全消除威胁、项目经理也可以把项目目标从风险的影响中分离出来,或者改变受到威胁的目标,如延长进度,改变策略或缩小范围等。最极端的规避策略是关闭整个项目。因此改变项目计划属于风险规避,是消极应对项目风险的情形之一。所以此题选A。
    风险转移是指项目团队把威胁造成的影响连同应对责任一起转移给第三方的风险应对策略。
    风险减轻是指项目团队采取行动降低到风险发生的概率或造成的影响的风险应对策略。
    风险接受是指项目团队决定接受风险的存在,该策略可以是被动或主动的。
    (2)积极风险或机会的应对策略;
    开拓、提高、分享是专为对项目目标有潜在积极影响的风险而设计的,第四种策略即接收,既可用来应对消极风险或威胁,也可用来应对积极风险或机会。
    (3)应急应对策略;
    (4)专家判断。

第 48 题

(  )冲突管理方法是指综合多方面的观点和意见,得到一个多数人能够接受的解决方案。

  • (A) 强制
  • (B) 妥协
  • (C) 合作
  • (D) 回避

答案与解析

  • 试题难度:一般
  • 知识点:项目人力资源管理>冲突管理
  • 试题答案:[['C']]
  • 试题解析:本考题考查的知识点为冲突管理基础知识,出自《信息系统项目管理师教程(第3版)》第9章 项目人力资源管理,全书第349页。
    不管冲突对项目的影响是正面的还是负面的,项目经理都有责任处理它,以减少冲突对项目的不利影响,增加其对项目积极有利的一面。
    以下是冲突管理的5种方法
     (1)撤退/回避。撤退就是从实际或潜在冲突中退出,将问题推迟到准备充分的时候,或者将问题推给其他人员解决。
    (2)缓和/包容。强调一致、淡化分歧;为维持和谐与关系而单方面退让一步。

    (3)妥协/调解。为了暂时或部分解决冲突,寻找能让各方都在一定程度上满意的方案。双方在态度上都愿意果断解决冲突,也愿意合作。

    (4)强迫/命令。以牺牲其它方为代价,推行某一方的观点;只提供赢输方案。

    (5)合作/解决。综合考虑不同观点和意见,采用合作的态度和开放式对话引导各方达成共识和承诺。这是冲突双方最理想的结果。

第 49 题

对于大型及复杂项目而言,制定活动计划之前,必须先考虑项目的(  )。

  • (A) 成本计划
  • (B) 质量计划
  • (C) 过程计划
  • (D) 范围计划

答案与解析

  • 试题难度:一般
  • 知识点:组织级项目管理与大型项目管理>大型及复杂项目管理过程
  • 试题答案:[[C]]
  • 试题解析:本考题考查的知识点为大型及复杂项目的计划过程知识,出自《信息系统项目管理师教程》第19章 组织级项目管理与大型项目管理。
    在某种意义上来说,一般项目的计划主要关注是项目活动计划。但是对大型及复杂项目来说,制定活动计划之前,必须先考虑项目的过程计划(此题选C),也就是必须先确定用什么方法或过程来完成项目。

第 50 题

组织级项目管理是一种包括项目管理、大型项目管理、项目组合管理的系统的管理体系,其最终目标是帮助企业实现(  )。

  • (A) 战略目标
  • (B) 资源有效利用
  • (C) 质量目标
  • (D) 业务目标

答案与解析

  • 试题难度:容易
  • 知识点:组织级项目管理与大型项目管理>项目组合管理
  • 试题答案:[[A]]
  • 试题解析:本考题考查的知识点为组织级项目管理基础知识。
    项目组合是项目或大型项目和其他工作的一个集合,将其组合在一起的目的是为了进行有效的管理以满足组织的战略目标。此题选A 

第 51 题

在大型项目中,项目的绩效通过组织结构层层传递,就可能导致信息的传递失真。因此相对于一般项目,大型项目在执行过程中,(  )更容易出现失真。
①范围;②质量;③进度;④成本。

  • (A) ③④
  • (B) ①③
  • (C) ①②
  • (D) ②③

答案与解析

  • 试题难度:一般
  • 知识点:组织级项目管理与大型项目管理>大型及复杂项目管理
  • 试题答案:[['C']]
  • 试题解析:本考题考查的知识点为大型项目的信息失真知识。
    由于大型项目大都依托项目群的组织,项目的绩效也是通过组织结构层层传递,这就可能导致信息的传递失真。然而对于IT项目来说,其进度和成本实际绩效信息比较明确,不宜失真。所以在范围和质量上可能存在很大的出现信息失真。所以此题选C。

第 52 题

在项目组合管理中,经常会涉及到项目管理办公室。(  )不属于项目管理办公室的职能。

  • (A) 建立项目管理的支撑环境
  • (B) 提供项目管理指导和咨询
  • (C) 多项目的管理和监控
  • (D) 制定具体的项目管理计划

答案与解析

  • 试题难度:容易
  • 知识点:项目管理基础知识>项目管理办公室
  • 试题答案:[['D']]
  • 试题解析:本考题考查的知识点为项目管理办公室基础知识。
    项目管理办公室(PMO)在组织内部承担起了将组织战略目标通过一个个的项目执行并加以实现的功能。其概念本身还在发展之中,在实践上也并不存在统一的方法。但总体来说其主要的功能和作用可以分为两大类:日常性职能和战略性职能。其中,日常性职能包括: 
    (1)建立组织内项目管理的支撑环境;A正确
    (2)培养项目管理人员 ;
    (3)提供项目管理的指导和咨询;B正确 
    (4)组织内的多项目的管理和监控;C正确 
    战略职能包括:项目组合管理和提高组织项目管理能力。

第 53 题

在项目中经常会利用外包的手段,以提高项目的盈利能力。对于工作规模或产品界定不是特别清楚的项目,外包时一般应采用(  )。

  • (A) 成本补偿合同
  • (B) 采购单形式的合同
  • (C) 工时材料合同
  • (D) 固定总价合同

答案与解析

  • 试题难度:一般
  • 知识点:项目采购管理>合同类型
  • 试题答案:[['C']]
  • 试题解析:本考题考查的知识点为项目合同分类基础知识。
    下图给出了常见的合同分类。

    本题的题干体现的是:对于工作规模或产品界定不是特别清楚的项目,并且采用外包的形式。一般采用工时材料合同(工料合同)。  

第 54 题

以下关于采购计划的叙述中,不正确的是:(  )


  • (A) 编制采购计划的第一步是考虑哪些产品或服务由项目团队自己提供划算,还是通过采购更为划算
  • (B) 每一次采购都要经历从编制采购计划到完成采购的全过程
  • (C) 项目进度计划决定和影响着项目采购计划,项目采购计划做出的决策不会影响项目进度计划
  • (D) 编制采购计划时,需要考虑的内容有成本估算、进度、质量管理计划、现金流预测等

答案与解析

  • 试题难度:容易
  • 知识点:项目采购管理>制订采购管理计划
  • 试题答案:[['C']]
  • 试题解析:本考题考查的知识点为采购计划编制的输入。
    项目管理计划提供了管理项目的总体计划,包含辅助的计划如采购管理计划、变更控制管理计划和对采购管理计划编制提供指导的总体合同管理计划。在其他计划产出可得的情况下,采购计划编制需要考虑其他计划编制的产出。通常应加以考虑的其他计划编制产出包括:成本估算、进度,质量管理计划,现金流预测,可识别风险和计划的人员配备等。
    项目采购计划作出的决策当然会影响项目进度计划,所以C错误。

第 55 题

项目经理负责对项目进行成本估算。下述表格是依据某项目分解的成本估算表,该项目总成本估算是(  )万元。

  • (A) 184
  • (B) 219
  • (C) 262
  • (D) 297

答案与解析

  • 试题难度:容易
  • 知识点:项目成本管理>成本估算
  • 试题答案:[['C']]
  • 试题解析:本考题考查的知识点为项目成本基础计算。
    在本题中我们需要理解成本估算是对完成项目活动所需资金进行近似估算的过程,自下而上的估算过程。
    设总成本估算是X万元,研发阶段估算成本占比84%,花费220万。那么有:X×84%=220,求出X≈261.905 所以选C。

第 56 题

用德尔菲方法估算一个活动的成本,三个回合后的结果如下表所示(数值表示活动时间)。如果每小时的成本是40美元,那么可能的成本应该是(  )美元。

  • (A) 880
  • (B) 800
  • (C) 1000
  • (D) 900

答案与解析

  • 试题难度:容易
  • 知识点:项目成本管理>成本估算
  • 试题答案:[['B']]
  • 试题解析:本考题考查的知识点为德尔菲方法的理解。
    德尔菲方法要求专家组就某个观点达成一致,应该以最后一轮的结果来计算,一般理解为相对一致,即最后一轮次有几位专家意见一致的数据。20×40=800元 。所以选B。

第 57 题

项目经理小李对自己的项目采用挣值法进行分析后,发现SPI>1、CPI<1,则该项目(  )。

  • (A) 进度超前,成本节约
  • (B) 进度超前,成本超支
  • (C) 进度延后,成本节约
  • (D) 进度延后,成本超支

答案与解析

  • 试题难度:容易
  • 知识点:项目成本管理>挣值管理
  • 试题答案:[['B']]
  • 试题解析:

    本考题考查的知识点为挣值管理基础知识。
    (1)CPI(Cost Performed Index,成本执行指数)与CV(Cost Variance,成本偏差)
    CPI是指预算成本与实际成本之比(或工时值之比)。计算公式为:
    CPI = BCWP / ACWP
    当CPI<1时,表示已完成工作的实际成本高于预算成本。
    当CPI>1时,表示已完成工作的实际成本低于预算成本。
    当CPI=1时,表示已完成工作的实际成本等于预算成本。
    CV=EV-AC
    CV<0时,已完成工作量的实际成本超过了预算成本,即出现了超支的现象。
    CV>0时,已完成工作量的实际成本低于预算成本,即有所结余,说明工作效率高。
    CV=0时,已完成工作量的实际成本等于预算成本。
    (2)SPI(Schedule Performed Index,进度执行指数)与SV(Schedule Variance,进度偏差)
    SPI是指项目挣值与计划值之比。计算公式为:
    SPI=BCWP / BCWS
    当SPI<1时,表示进度延误,即实际进度比计划进度慢。
    当SPI>1时,表示进度提前,即实际进度比计划进度快。
    当SPI=1时,表示实际进度与计划进度一致。

第 58 题

在项目质量计划编制过程常用的工具和技术中,(  )是将实际实施过程中或计划之中项目做法同其他类似项目的实际做法进行比较,改善与提高项目的质量。

  • (A) 成本/效益分析
  • (B) 实验设计
  • (C) 质量成本
  • (D) 基准分析

答案与解析

  • 试题难度:一般
  • 知识点:项目质量管理>制订质量管理计划
  • 试题答案:[['D']]
  • 试题解析:本考题考查的知识点为规划质量的工具和技术。规划质量的方法包括成本收益法、质量成本法、标杆对照(基准分析)、实验设计等。下图列出了这些方法的详细信息。


第 59 题

以下关于软件质量控制的叙述中,正确的是:(  )。

  • (A) 质量控制是监督并记录开发活动结果,以便评估绩效
  • (B) 确认项目的可交付成果及工作满足主要干系人的既定要求是软件质量控制的主要作用之一
  • (C) 质量管理计划是质量控制的输出,项目管理计划中不包括质量管理计划
  • (D) 核实的可交付成果是质量控制的输出,同时也是确认范围过程的一项输出

答案与解析

  • 试题难度:一般
  • 知识点:项目质量管理>质量控制
  • 试题答案:[['B']]
  • 试题解析:

    本考题考查的知识点为质量控制基础知识,出自《系统集成项目管理工程师教程(第2版)》第十章项目质量管理 10.4.1 质量控制概述,全书第362-369页。
    质量控制是监督并记录质量活动执行结果(A错误),以便评估绩效,并推荐必要的变更的过程。本过程的主要作用包括:
    (1)识别过程低效或产品质量低劣的原因,建议并采取相应措施消除这些原因;
    (2)确认项目的可交付成果及工作满足主要干系人的既定需求,足以进行最终验收。(B正确)
    质量控制输入有:项目管理计划,质量测量指标、质量核对单、工作绩效数据、批准的变更请求,可交付成果,项目文件和组织过程资产。
    而项目管理计划中包含质量管理计划,因此质量管理计划属于质量控制的输入,质量管理计划同时也是项目管理计划的组成部分。(C错误)
    质量控制输出有:质量控制测量结果,确认的变更、核实的可交付成果、变更请求、项目管理计划更新、项目文件更新和组织过程资产更新。
    控制质量过程的一个目的就是确定可交付成果的正确性。开展控制质量过程的结果,是核实的可交付成果。核实的可交付成果是确认范围的一项输入,以便正式验收。(D错误)
    综上所得,此题选B。

第 60 题

以下对项目管理和项目监理的理解中,正确的是(  ) 。

  • (A) 项目监理属于项目管理的监控过程组
  • (B) 项目监理属于项目管理的执行过程组
  • (C) 项目管理与项目监理是独立的两个过程,没有任何关系
  • (D) 项目建设方和项目承建方都需要开展项目管理工作,而项目监理要由第三方负责

答案与解析

  • 试题难度:一般
  • 知识点:信息系统服务管理>信息系统工程监理(四控三管一协调)
  • 试题答案:[['D']]
  • 试题解析:本考题考查的知识点为项目管理与项目监理的理解。
    项目管理是人们在各类项目建设实践过程中,不断研究总结和创新发展而来的。由于项目具有一次性、整体性、目标明确性等属性,使其建设行为不同于连续不断、周而复始的日常组织活动,需要人们利用有限资源,在诸多条件限制下实现项目目标。可以说,正是项目的特殊属性使项目管理在项目实现过程中应运而生。  
    我国推行建设工程监理的初衷就是要引入国际先进的项目管理思想,在项目法人与承包商之间引入了监理单位作为中介服务第三方,以经济合同为纽带,努力构建相互制约、相互协作、相互促进的新的建设项目管理运行体系,目的是为了提高工程质量和建设水平,使我国的建设工程管理逐步与国际接轨。所以此题选D。

第 61 题

某项目范围基准发生变化,经(  )同意,对需求规格说明书进行变更,则该配置项的状态应从(  )。

  • (A) 项目经理
  • (B) 技术负责人
  • (C) 配置管理员
  • (D) 变更控制委员会
  • (A) “草稿”变迁为“正在修改”
  • (B) “正式发布”变迁为“正在修改”
  • (C) “Check in”变迁为“Check out”
  • (D) “Check out”变迁为“Check in”

答案与解析

  • 试题难度:容易
  • 知识点:项目整体管理>整体变更控制
  • 试题答案:[['D'],['B']]
  • 试题解析:

    本考题考查的知识点为配置项版本控制流程基础知识。出自《信息系统项目管理工程师(第2版)》第十五章 配置管理 15.5 版本管理,全书第331页。
    (1)创建配置项
    项目成员依据《配置管理计划》,在配置库中创建属于其任务范围内的配置项。此时配置项的状态为“草稿”,其版本号格式为0.YZ。
    (2)修改处于“草稿”状态的配置项
    项目成员使用配置管理软件的Cbeck in/Check out功能,可以自由修改处于“草稿”状态的配置项(不受变更控制规程约束),版本号格式为0.YZ。
    (3)技术评审或领导审批
    如果配置项是技术文档,则需要接受技术评审。
    如果配置项是“计划”类文件,则需要项目经理(或上级领导)的审批。
    若配置项通过了技术评审或领导审批,则转向(4),否则转向(2)。
    (4)正式发布
    配置项通过技术评审或领导审批之后,则配置项的状态从“草稿”变迁为“正式发布”,版本号格式为X.Y。
    (5)变更
    修改处于“正式发布”状态的配置项,必须按照“变更控制规程”执行,主要步骤如下(详见变更控制)。
    如果变更控制委员会或者是配置管理委员会同意变更,则配置项状态从“正式发布”变迁为“正在修改”。所以第一问选D,第二问选B。
    项目成员使用Check in/Check out功能,可以修改处于“正在修改”状态的配置项,
    版本号格式为X.YZ。 

    修改完毕后,该配置项要重新接受技术评审或领导审批,转向(3)。

第 62 题

在进行项目需求管理时,某需求的状态描述是:该需求已被分析,估计了其对项目余下部分的影响,已用一个明确的产品版本号或创建编号分配到相关的基线中,软件开发团队已同意实现该需求,则这个需求状态值是(  )。

  • (A) 已建议
  • (B) 已验证
  • (C) 已实现
  • (D) 已批准

答案与解析

  • 试题难度:一般
  • 知识点:信息系统开发基础>需求工程
  • 试题答案:[['D']]
  • 试题解析:

    本考题考查的知识点为需求属性知识。出自《信息系统项目管理师教程(第2版)》第十七章需求管理 17.1.3 需求属性,全书第373页。
    需求状态如下:
    (1)已建议:该需求已被有权提出需求的人建议。
    (2)已批准:该需求已被分析,估计了其对项目余下部分的影响(包括成本和对项目其余部分的干扰),已用一个确定的产品版本号或创建编号分配到相关的基线中,软件开发团队已同意实现该项需求;所以选D。
    (3)已实现:已实现需求代码的设计、编写和单元测试。
    (4)已验证:使用所选择的方法已验证了实现的需求,例如测试和检测,审查该需求跟踪与测试用例相符。该需求现在被认为完成。
    (5)已删除: 计划的需求已从基线中删除,但包括一个原因说明和做出删除决定的人员。

第 63 题

某企业软件开发人员的下列做法中,不正确的是:(  ) 。

  • (A) 计划根据同行评审、阶段评审的结果建立需求、设计、产品三条基线
  • (B) 在需求分析规格说明书通过同行评审后建立需求基线
  • (C) 建立需求基线没有包括用户需求说明书
  • (D) 因用户需求有变更,故依据变更控制流程修改了需求基线

答案与解析

  • 试题难度:一般
  • 知识点:项目配置管理>配置管理
  • 试题答案:[[C]]
  • 试题解析:
    本考题考查的知识点为需求管理基础知识。出自《信息系统项目管理师教程(第二版)》第十七章 需求管理 17.1.1 需求工程,全书第370页。
    需求管理包括:
    (1)需求获取:积极地与用户进行交流,捕捉、分析和修正用户对目标系统的需求,并提炼出符合解决问题的用户需求,产生《用户需求说明书》。所以C不正确
    (2)需求分析。对各种需求信息进行分析并抽象描述,为目标系统建立一个概念模型。
    (3)需求定义。根据需求调查和需求分析的结果,进一步定义准确无误的产品需求,产生《需求规格说明书》。系统设计人员将依据《需求规格说明书》开展系统设计工作。
    (4)需求确认。开发方和用户共同对需求文档评审,经双方对需求达成共识后做出书面承诺,使需求文档具有商业合同效果。
    (5)需求管理。收集需求的变更和变更的理由,并且维持对原有需求和所有产品构件需求的双向跟踪。

第 64 题

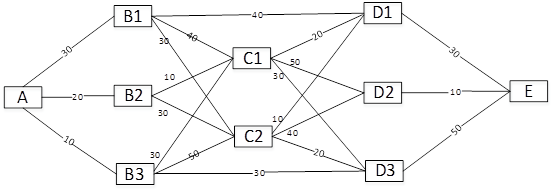
下图中从A到E的最短路线是(  ),其长度是(  )。

  • (A) A——B1——C1——D2——E
  • (B) A——B2——C1——D1——E
  • (C) A——B3——C2——D2——E
  • (D) A——B2——C2——D3——E
  • (A) 70
  • (B) 80
  • (C) 90
  • (D) 100

答案与解析

  • 试题难度:容易
  • 知识点:科学管理基础>图论-最短路径
  • 试题答案:[['B'],['B']]
  • 试题解析:本考题考查的知识点为项目进度基础知识。
    首先我们知道算出到B1 是30, B2是20, B3是10, 到C1的最短时间是A-B2-C1,即30。到C2最短时间是50 然后再算到D1,D2,D3的最短时间,可以知道D1是50 D2是80 D3是40 最后可以知道选D1这条线是最短距离,即A-B2-C1-D1-E 题一选B 长度为80 题二也选B。

    求取最小路径的快捷方法可结合选项,计算出详细的路径长度,对比排除即可。

第 65 题

某工厂计划生产甲、乙两种产品。生产每套产品所需的设备台时、A、B两种原材料和可获利润以及可利用资源数量如下表所示。则应按(  )方案来安排计划以使该工厂获利最多。



</div>

  • (A) 生产甲2套,乙3套
  • (B) 生产甲1套,乙4套
  • (C) 生产甲3套,乙4套
  • (D) 生产甲4套,乙2套

答案与解析

  • 试题难度:一般
  • 知识点:科学管理基础>线性规划
  • 试题答案:[['B']]
  • 试题解析:本考题考查的知识点为线性规划问题。
    设X、Y分别表示在计划期内产品甲、乙的套数,X>=0,Y>=0,
    则题目中表可用以下数学模型表示: 
    目标函数:MAX Z=2X+3Y 
    约束条件: 
    2X+3Y<=14 
    8X<=16 ⇒X<=2
    3Y<=12 ⇒Y<=4
    X,Y>=0 
    求解以上约束条件可知,所以当甲生产1套,乙生产4套的时候利润为 2+12=14;当甲生产2套,乙只能生产3套的时候利润为4+9=13。 所以此题选B。

第 66 题

袋子里有50个乒乓球,其中20个黄球,30个白球。现在两个人依次不放回地从袋子中取出一个球,第二个人取出黄球的概率是(  )。

  • (A) 1/5
  • (B) 3/5
  • (C) 2/5
  • (D) 4/5

答案与解析

  • 试题难度:一般
  • 知识点:科学管理基础>其他
  • 试题答案:[['C']]
  • 试题解析:本考题考查的知识点为风险管理计算问题
    本题要求第二个人取得黄球的概率,设为P。

    分析题目之后得出有两种情况。

    ① 第一个人取得白球后第二个人取得黄球的概率=第一个人取得白球的概率×第二个人取得黄球的概率

    第一个人取得白球的概率=30/50

    不放回的话,此时总数是49,黄球数为20,所以第二个人再取黄球的概率为20/49
    所以第一个人取得白球后第二个人取得黄球的概率=30/50×20/49

    ②第一个人取得黄球后第二个人取得黄球的概率=第一个人取得黄球的概率×第二个人取得黄球的概率

    第一个人取得黄球的概率=20/50。
    不放回的话,此时总数是49,黄球数为19,所以第二个人再取黄球的概率为19/49。
    第一个人取得黄球后第二个人取得黄球的概率=20/50×19/49
    </div>

    所以P=30/50×20/49+20/50×19/49=2/5。

第 67 题

某项目中多个风险的发生概率和对成本、进度、绩效的影响如下表所示:

若实现成本目标为首要考虑的问题,项目团队应处理的最关键风险是(  )。

  • (A) A
  • (B) B
  • (C) C
  • (D) D

答案与解析

  • 试题难度:一般
  • 知识点:项目风险管理>风险定性分析
  • 试题答案:[['D']]
  • 试题解析:
    本题考查知识点为实施定性风险分析的工具与技术——风险概率与影响评估。参考《信息系统项目管理师教程(第3版)》P404。
    实现成本首要考虑的问题,其实就是概率乘以成本。根据表格,我们可以算出A为0.6;B为1.8; C为0.6; D为2; E为0.6。 所以最关键的风险为D,所以此题选D。

第 68 题

(  )promises to streamline the on-demand provisioning of software,data as a service, achieving economies of scale in IT solutions deployment and operation.

  • (A) Big data
  • (B) Cloud computing
  • (C) Internet
  • (D) CPS

答案与解析

  • 试题难度:一般
  • 知识点:信息化与系统集成技术>云计算(IaaS、PaaS、SaaS)
  • 试题答案:[['B']]
  • 试题解析:

    ( )承诺简化软件,硬件和数据作为服务的需求配置,实现规模经济在IT解决方案的部署和操作。
    A、大数据
    B、云计算
    C、互联网
    D、信息物理系统
    解析:
    大数据是指无法在一定时间范围内用常规软件工具进行捕捉、管理和处理的数据集合,是需要新处理模式才能具有更强的决策力、洞察发现力和流程优化能力的海量、高增长率和多样化的信息资产。
    云计算是一种基于并高度依赖互联网,用户与实际服务提供的计算资源相分离,集合了大量计算设备和资源,并向用户屏蔽底层差异的分布式处理架构。
    信息物理系统(CPS):是一个综合计算、网络和物理环境的多维复杂系统。

第 69 题

(  )is a term for data sets that are so large or complex that traditional data processing applications are inadequate. Challenges include analysis, capture, data  curation, search, sharing, storage, transfer,visualization, querying, updating and information privacy.

  • (A) Data market
  • (B) Data warehouse
  • (C) Big data
  • (D) BI

答案与解析

  • 试题难度:一般
  • 知识点:信息化与系统集成技术>大数据
  • 试题答案:[['C']]
  • 试题解析:

    此题选C,Big data 即大数据。
    (  )设定是非常巨大的或复杂的,传统的数据处理应用程序数据集是不够的。这些挑战包括分析、捕捉、数据管理、搜索、分享、存储、转移、可视化、查询、更新与信息隐私。
    A、数据集市
    B、数据仓库
    C、大数据
    D、商业智能
    A 数据集市:也被称为数据市场,是一个从操作的数据和其他的为某个特殊的专业人员团队服务的数据源中收集数据的仓库。
    B 数据仓库:存放大量数据的集合。主要用于数据挖掘和数据分析,辅助领导做决策。
    C 大数据:指无法在一定时间范围内用常规软件工具进行捕捉、管理和处理数据集合,是需要新处理模式才能具有更强的决策力、洞察发现力和流程优化能力的海量、高增长率和多样化的信息资产。
    D 商业智能(BI):商业智能通常被理解为将企业中现有的数据转化为知识,帮助企业做出明智的业务经营决策的工具。

第 70 题

Quality management ensures that an organization,product or service is (  ).It has four main components:quality planning,quality assurance,quality control and quality (  ).

  • (A) guaranteed
  • (B) sustain
  • (C) good
  • (D) consistent
  • (A) improvement
  • (B) change
  • (C) spiral
  • (D) evolution

答案与解析

  • 试题难度:一般
  • 知识点:项目质量管理>质量保证
  • 试题答案:[[D],[A]]
  • 试题解析:Guaranteed:保证 
    Consistent:一致的 
    Improvement:改进 
    质量管理确保组织、产品或服务是一致的。
    质量管理是指确定质量方针、目标和职责,并通过质量体系中的质量规划、质量保证和质量控制以及质量改进来使其实现所有管理职能的全部活动,质量管理是指为了实现质量目标而进行的所有质量性质的活动。

第 71 题

(  ) is the process of determining, documenting, and managing stakeholder needs and requirements to meet project objectives.

  • (A) collecting requirements
  • (B) Defining requirements
  • (C) Creating WBS
  • (D) Requirements analysis

答案与解析

  • 试题难度:较难
  • 知识点:项目范围管理>需求管理
  • 试题答案:[['A']]
  • 试题解析:(  )是确定、记录和管理干系人的需求和要求以满足项目目标的过程。 
    A、收集需求 
    B、定义需求 
    C、创建WBS 
    D、需求分析 
    解析:范围管理主要通过规划范围管理、收集需求、定义范围、创建WBS、确认范围和控制范围六个过程来实现。
    规划范围管理:编制范围管理计划,书面描述将如何定义、确认和控制项目范围的过程。

    收集需求:为实现项目目标而确定、记录并管理干系人的需要和需求的过程。

    定义范围:制定项目和产品描述的过程。

    创建WBS:将项目可交付成果和项目工作分解为较小的、更易于管理的组件的过程。

    (前4个为规划过程)

    确认范围:正式验收已完成项目可交付成果

    控制范围:监督项目和产品的范围状态,管理范围基准变更的过程。

    (后2个为监控过程)

results matching ""

    No results matching ""